Carta De Recomendacion Instituto

Carta de recomendacion instituto cervantes, carta de recomendacion instituto ecuatoriano, carta de recomendacion instituto cordillera, carta de recomendacion instituto nacional de seguros, carta de recomendacion instituto portugues, carta de recomendacion instituto mexicano, carta de recomendacion instituto libertad, carta de recomendacion instituto nacional de estatistica, carta de recomendacion instituto nacional de migracion, carta de recomendacion personal, carta de recomendacion laboral, como hacer una carta de recomendacion, carta de recomendacion ejemplo, modelo de carta de recomendacion, carta de recomendacion para inmigracion, carta de recomendacion en ingles, carta de recomendacion de trabajo, como redactar una carta de recomendacion, carta de recomendacion personal, carta de amor, carta de presentacion, carta de agradecimiento, carta de referencia personal, carta del docente, carta de antecedentes no penales,


La Evolución De Las Costumbres. Una Historia Real – Autopsia via lautopsia.wordpress.com
La evolución de las costumbres. Una historia real – AUTOPSIA

Carta-recomendacao (1) via pt.slideshare.net
Carta-recomendacao (1)

Ejemplo De Carta De Crédito De Infonavit via www.ejemplode.com
Ejemplo de Carta de crédito de infonavit

Admisiones – Instituto Cristiano De Las Américas via icla.edu.mx
Admisiones – Instituto Cristiano de Las Américas

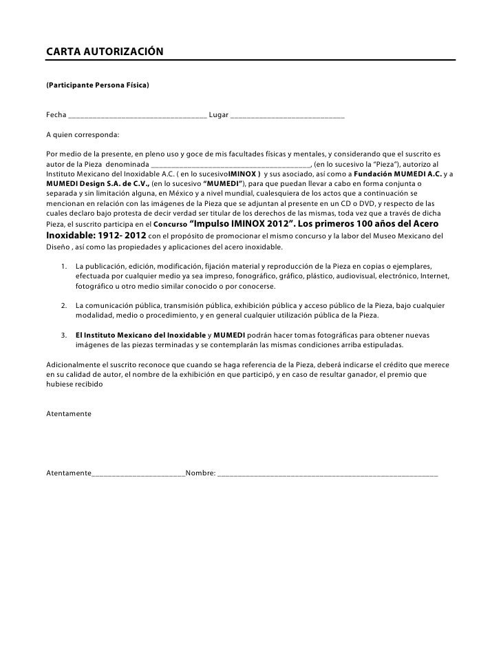
Ventanasyvidrios Impulso Iminox via es.slideshare.net
Ventanasyvidrios impulso iminox

Imágenes De Solicitud Imágenes via tusimagenesde.com
Imágenes de solicitud  Imágenes

Cómo Hacer Una Carta De Presentación Sensacional (con 20 via www.canva.com
Cómo hacer una carta de presentación sensacional (con 20

Inicio - Ipn via www.esiatec.ipn.mx
Inicio - IPN

Magíster En Ciencias Biológicas - Universidad De Chile via www.uchile.cl
Magíster en Ciencias Biológicas - Universidad de Chile

Deshabilitar Uac (control De Cuentas De Usuario) Del via www.josemanuelluis.com
Deshabilitar UAC (Control de cuentas de usuario) del

Instalar Impresoras Desde Linea De Comandos (cmd via www.josemanuelluis.com
Instalar Impresoras desde linea de comandos (CMD

Lo Que Debo Aprender: Cómo Elaborar Una Hoja De Vida via loquedeboaprender.blogspot.com
Lo que debo aprender: Cómo elaborar una Hoja de Vida

Trayectoria Académica Y Laboral Dr. Javier Cordero via www.javiercordero.cl
Trayectoria Académica y Laboral  Dr. Javier Cordero


Random Image



Related Posts To Carta De Recomendacion Instituto


Carta De Recomendacion Instituto Rating: 4.5 Posted by: harukasix

Search Here

Popular Posts

Total Pageviews

Recent Posts

Partners